Preguntas de Ciências da Natureza e suas Tecnologias | Simulado ENEM 2026 | Página 233

Nesta seção você encontrará milhares de perguntas de Ciências da Natureza e suas Tecnologias, como resolver cada uma das perguntas e a resposta correta.

se não o fizer, terá a opção de ver a solução ou escolher outra resposta.

Se desejar saber como solucionar cada pergunta, pode clicar na opção 'Como resolver?'

Pergunta 1161

Durante uma obra em um clube, um grupo de trabalhadores teve de remover uma escultura de ferro maciço colocada no fundo de uma piscina vazia. Cinco trabalhadores amarraram cordas à escultura e tentaram puxá-la para cima, sem sucesso.

Se a piscina for preenchida com água, ficará mais fácil para os trabalhadores removerem a escultura, pois a

A)  

escultura flutuará, desta forma, os homens não precisarão fazer força para remover a escultura do fundo.

B)  

escultura ficará como peso menor. Desta forma, a intensidade da força necessária para elevar a escultura será menor.

C)  

água exercerá uma força na escultura proporcional a sua massa, e para cima. Esta força se somará à força que os trabalhadores fazem para anular a ação da força peso da escultura.

D)  

água exercerá uma força na escultura para baixo, e esta passará a receber uma força ascendente do piso da piscina. Esta força ajudará a anular a ação da força peso na escultura.

E)  

água exercerá uma força na escultura proporcional ao seu volume, e para cima. Esta força se somará à força que os trabalhadores fazem, podendo resultar em uma força ascendente maior que o peso da escultura.

Como resolver?

Pergunta 1162

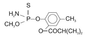
Os pesticidas modernos são divididos em várias classes, entre as quais se destacam os organofosforados, materiais que apresentam efeito tóxico agudo para os seres humanos. Esses pesticidas contêm um átomo central de fósforo ao qual estão ligados outros átomos ou grupo de átomos como oxigênio, enxofre, grupos metoxi ou etoxi ou um radical orgânico de cadeia longa. Os organofosforados são divididos em três subclasses: Tipo A, na qual o enxofre não se incorpora na molácula; Tipo B, na qual o oxigênio, que faz dupla ligação com fósforo, é substituído pelo enxofre; e Tipo C, no qual dois oxigênios são substituídos por enxofre.

BAIRD, C. Química Ambiental. Bookmam. 2005.

Um exemplo de pesticida organofosforado Tipo B, que apresenta grupo etoxi em sua fórmula estrutural, está representado em:

A)  
B)  
C)  
D)  
E)  
Como resolver?

Pergunta 1163

As mobilizações para promover um planeta melhor para as futuras gerações são cada vez frequentes. A maior parte dos meios de transporte de massa é atualmente movida pela queima de um combustível fóssil. A título de exemplificação do ônus causado por essa prática, basta saber que um carro produz, em média, cerca de 200g de dióxido de carbono por km percorrido.

Revista Aquecimento Global. Ano 2, no 8. Publicação do Instituto Brasileiro de Cultura Ltda.

Um dos principais constituintes da gasolina é o octano (C8H18). Por meio da combustão do octano é possível a liberação de energia, permitindo que o carro entre em movimento. A equação que representa a reação química desse processo demonstra que

A)   no processo há liberação de oxigênio, sob a forma de O2
B)  

o coeficiente estequiométrico para a água é de 8 para 1 do octano.

C)  

no processo há consumo de água, para que haja liberação de energia.

D)  

o coeficiente estequiométrico para o oxigênio é de 12,5 para 1 do octano.

E)  

o coeficiente estequiométrico para o gás carbônico é de 9 para 1 do octano

Como resolver?

Pergunta 1164

Duas irmãs que dividem o mesmo quarto de estudos combinaram de comprar duas caixas com tampas para guardarem seus pertences dentro de suas caixas, evitando, assim, a bagunça sobre a mesa de estudos. Uma delas comprou uma metálica, e a outra, uma caixa de madeira de área e espessura lateral diferentes, para facilitar a identificação. Um dia as meninas foram estudar para a prova de Física e, ao se acomodarem na mesa de estudos, guardarem seus celulares ligados dentro de suas caixas. Ao longo desse dia, uma delas recebeu ligações telefônicas, enquanto os amigos da outra tentavam ligar e recebiam a mensagem de que o celular estava fora da área de cobertura ou desligado.

Para explicar essa situação, um físico deveria afirmar que o material da caixa, cujo telefone celular não recebeu as ligações é de

A)  

madeira, e o telefone não funcionava porque a madeira não é um bom condutor de eletricidade.

B)  

metal, e o telefone não funcionava devido à blindagem eletrostática que o metal proporcionava.

C)  

metal, e o telefone não funcionava porque o metal refletia todo tipo de radiação que nele incidia.

D)  

metal, e o telefone não funcionava porque a área lateral da caixa de metal era maior.

E)  

madeira, e o telefone não funcionava porque a espessura desta caixa era maior que a espessura da caixa de metal.

Como resolver?

Pergunta 1165

O monofluoracetato de sódio pode ser obtido pela

A)  

Desidratação do ácido monofluoracético com liberação de água.

B)  

Hidrólise do ácido monofluoracético sem formação de água.

C)  

Perda de íons hidroxila do ácido monofluoracético, com liberação de hidróxido de sódio.

D)  

Neutralização do ácido monofluoracético usando hidróxido de sódio, com liberação de água.

E)  

Substituição dos íons hidrogênio por sódio na estrutura do ácido monofluoracético, sem formação de água.

Como resolver?

Pratique com Simuladores

Teste seu conhecimento, resolva estes simuladores similares ao exame

Precisa de ajuda com um exercício?

Faça uma pergunta e entre todos desta comunidade a responderemos.